Küresel enerji dönüşümü, 2026 yılı itibarıyla artık yalnızca çevresel bir taahhüt değil; sınırda karbon düzenlemeleri ve yeni raporlama standartlarıyla işletmelerin bilançolarını doğrudan şekillendiren operasyonel bir zorunluluk haline gelmiştir. Özellikle Türkiye gibi enerji ithalatına bağımlı ekonomilerde faaliyet gösteren işletmeler için enerji maliyetlerinin yönetimi, rekabet gücünün temel unsurlarından biri durumundadır artık.
Güneş (GES) ve rüzgâr (RES) enerji yatırımları, işletmelere yalnızca maliyet avantajı sağlamakla kalmaz, aynı zamanda karbon regülasyonlarına uyum ve uzun vadeli fiyat öngörülebilirliği sunar. Ancak bu yatırımların başarısı, yalnızca teknik kurulumla değil, finansal modelleme, mevzuat yönetimi ve şebeke erişimi gibi çok katmanlı süreçlerin doğru yönetilmesine bağlıdır.
- Yatırım Öncesi Karar Eşikleri: Stratejik Fizibilite ve Risk Denetimi
- EPC Dönemi: Mühendislik ve Tedarik Zinciri Güvencesi
- Kurumsal Yönetişim, İç Denetim ve ESG Standartları
- Sürdürülebilirlik Raporlaması ve 2026 Mevcut Durumu
- Sonuç ve Stratejik Yol Haritası
- AKADEMİK REFERANSLAR
İlginizi Çekebilir: Konuyla ilgili bakış açınızı derinleştirecek ve yorumlarınıza yeni bir boyut kazandıracak şu makalemize de göz atmanızı öneririz:
Enerji Fiyatlarının Endüstriye Yansıması ve Alternatif Enerji Yatırımlarının Rasyonalitesi
Bu çerçevede, yenilenebilir enerji projeleri yalnızca bir yatırım kararı değil, işletmenin uzun vadeli finansal yapısını ve risk profilini yeniden şekillendiren stratejik dönüşüm projeleridir. Bu dönüşümün ölçeği oldukça geniştir. 2025–2030 döneminde küresel yenilenebilir enerji kapasitesinin yaklaşık 4.600 GW seviyesine ulaşması beklenmektedir. Bu büyüme, yatırım fırsatlarını artırırken aynı zamanda rekabeti ve kaynak kısıtlarını da derinleştirmektedir.
Türkiye özelinde, KOSGEB Yeşil Sanayi Destek Programı gibi 14 milyon TL’ye varan teşvikler yatırım iştahını kabartsa da, TEİAŞ’ın trafo merkezlerindeki kapasite doluluk oranları ve şebeke bağlantı süreçlerindeki ‘sıfır kapasite’ darboğazı, yatırımcıları çok daha ihtiyatlı ve planlı hareket etmeye zorlamaktadır.[2] Bu içerik, yenilenebilir enerji yatırımlarında karar vericilerin karşılaştığı teknik ve finansal karmaşıklığı sadeleştirerek, uygulanabilir bir stratejik çerçeve sunmayı hedeflemektedir.
Enerji yatırımlarında operasyonel mükemmellik, projenin fikir aşamasından itibaren risk denetiminin ve finansal fizibilitenin iç içe geçmesini gerektirir. Bir projenin kağıt üzerindeki teorik verimi ile fiili işletme dönemindeki performansı arasındaki fark, genellikle yatırım öncesi ‘karar eşiklerinin’ ne kadar titizlikle analiz edildiğine bağlıdır.
Bu süreçte sadece CAPEX (Yatırım Harcamaları) değil, OPEX (İşletme Harcamaları) ve enerjinin birim maliyetini belirleyen LCOE (Levelized Cost of Energy – Seviyelendirilmiş Enerji Maliyeti) gibi metriklerin derinlemesine irdelenmesi hayati önem taşır.[4] Ayrıca, Türkiye’nin son dönemde uygulamaya koyduğu ‘Toplayıcı’ (Aggregator) modeli ve 5.1.h gibi mevzuat esneklikleri, şebeke kısıtlarını aşmak için yeni stratejik kapılar açmaktadır.[6]
Ortaya çıkan tablo, yenilenebilir enerji yatırımlarının artık bir tercih değil, işletmeler için zorunlu bir stratejik adım haline geldiğini göstermektedir. Zira günümüzde bu yatırımlar sadece bir enerji tasarrufu yöntemi değil; AB Sınırda Karbon Düzenleme Mekanizması (SKDM) gibi yasal zorunluluklara uyum sağlamanın ve küresel tedarik zincirlerinde rekabetçiliği korumanın ön koşuludur. Fosil yakıtlara dayalı üretim modelleri, hem karbon vergileri hem de artan finansman maliyetleri nedeniyle sürdürülemez bir ekonomik yüke dönüşmektedir.
İşletme sahipleri için asıl soru ‘bu yatırımı yapmalı mıyım?’ değil, ‘bu yatırımı en az risk, en optimal finansman ve en yüksek verimle nasıl yönetebilirim?’ olmalıdır. Teolupus olarak bu içerikte, yatırımın temelinden itibaren operasyonel mükemmelliği sağlayacak stratejik katmanları derinlemesine inceliyoruz.
1. Yatırım Öncesi Karar Eşikleri: Stratejik Fizibilite ve Risk Denetimi
Yenilenebilir enerji projelerinde bir yatırımın finansman bulabilirlik (bankability) ve sürdürülebilir olması, teknik tasarımdan önce risklerin doğru analiz edilmesine bağlıdır. Uygulamada yatırımcılar çoğunlukla ekipman performansına odaklanırken, iskonto oranı, mevzuat uyumu ve şebeke erişimi gibi projenin finansal sürdürülebilirliğini belirleyen unsurlar geri planda kalmaktadır.
Stratejik fizibilite süreci, projenin ömrü boyunca karşılaşabileceği riskleri azaltır ve yatırımın geri dönüş süresini (ROI) daha öngörülebilir hale getirir.
Bu bölüm, yenilenebilir enerji projelerinde karar alma mekanizmalarını şekillendiren iki ana sütunu ele almaktadır: finansal modellemenin evrimi ve teknik altyapıdaki şebeke kısıtları. 2025 ve sonrası için öngörülen maliyet durağanlaşması ve trafo kapasite krizi, yatırımcıların geleneksel yöntemlerden sıyrılarak yeni nesil projeksiyonlara geçmesini zorunlu kılmıştır.[3]
İşletmelerin bu kritik eşikleri başarıyla aşması, projenin sadece bir maliyet merkezi değil, uzun vadeli bir kâr merkezi haline gelmesini sağlayacaktır.
1.1. LCOE ve Karlılık Analizinde Yeni Nesil Finansal Projeksiyonlar
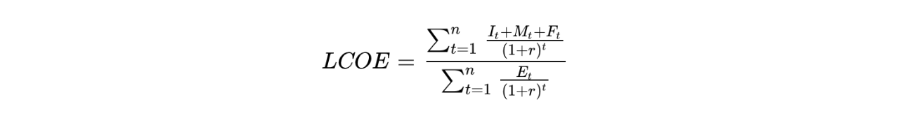
Enerjinin Seviyelendirilmiş Maliyeti (LCOE), bir enerji tesisinin ömür boyu ürettiği toplam enerjinin birim maliyetini ifade eder ve yatırımın gerçek kârlılığını ölçmek için kullanılan en sağlıklı metriktir. Geçmiş on yılda güneş PV (Photovoltaic – Fotovoltaik) maliyetlerinde %77, rüzgâr maliyetlerinde %58 gibi dramatik düşüşler yaşanmış olsa da, 2025 yılı itibarıyla bu maliyet azalma hızı duraksama evresine girmiştir.[4]
BloombergNEF raporlarına göre, 2025 yılı itibarıyla güneş LCOE maliyetlerinde sadece %2 oranında bir gerileme yaşandı.[4] Bu durum, yenilenebilir enerji yatırımlarında rekabet avantajının artık teknoloji maliyetlerinden değil, finansal modelleme doğruluğundan kaynaklandığını açıkça ortaya koymaktadır.
LCOE hesaplaması, yatırımın ekonomik ömrü boyunca oluşan tüm maliyetlerin üretilen toplam enerjiye oranlanması esasına dayanır. Formüldeki her bir değişken, projenin risk profilini doğrudan etkiler:
Burada dikkat edilmesi gereken hususlar şunlardır:
- İskonto Oranı (): Sermaye maliyetinin (WACC – Weighted Average Cost of Capital) artması, projenin gelecekteki nakit akışlarının bugünkü değerini düşürür. Yüksek faiz ortamında, projenin kendini amorti etme süresi teorik hesaplamaların üzerine çıkabilir.[5]
- İşletme ve Bakım Giderleri (): 2025 sonrası projeksiyonlarda, kalifiye teknik personel maliyetleri ve yedek parça tedarik zinciri baskıları nedeniyle işletme giderlerinde %5-10 bandında bir artış öngörülmektedir.[8]
- Enerji Üretimi (): Panellerdeki yıllık degradasyon oranları (verim kaybı) ve iklim değişikliğine bağlı meteorolojik dalgalanmalar, üretilen enerjinin beklenen seviyelerin altında kalmasına neden olabilir.
Aşağıdaki tablo, 2025-2026 döneminde farklı teknolojiler için beklenen maliyet yapılarını ve piyasa dinamiklerini özetlemektedir:
Tablo 1: Enerji Teknolojileri Maliyet Trendleri ve Stratejik Risk Analizi (2025-2026)
| Teknoloji | LCOE Trendi (2025) | Temel Maliyet Sürücüleri | Risk Faktörleri |
| Güneş PV (Tek Eksenli) | 37 – 118 USD/MWh | Panel verimliliği, arazi maliyeti.[8] | Tedarik zinciri kısıtları, gümrük vergileri.[4] |
| Karasal Rüzgar (RES) | 25 – 70 USD/MWh | Türbin boyutu, lojistik maliyetler.[8] | Şebeke bağlantı onayları, lojistik gecikmeler.[1] |
| Bataryalı Hibrit (BESS) | < 100 USD/MWh | Lityum fiyatları, döngü ömrü.[4] | Ham madde volatilitesi (Lityum, Fosfat).[4] |
| Kıyı ötesi (Offshore) Rüzgar | Yüksek (Azalan eğilim) | Denizüstü inşaat, kablolama.[8] | Teknik karmaşıklık, yüksek CAPEX.[1] |
Tablo incelendiğinde, güneş ve rüzgâr projelerinde maliyetlerin görece stabil hâle geldiği, buna karşılık batarya ve ‘offshore’ projelerde belirsizliklerin daha yüksek olduğu görülmektedir. Bu durum, özellikle depolamalı projelerde finansal risk yönetiminin daha kritik hale geldiğini göstermektedir.
Yeni nesil finansal projeksiyonlarda, enerji depolama sistemlerinin (BESS) maliyetleri de denkleme dahil edilmelidir. Batarya fiyatları 2024’te %33 düşerek 104 USD/MWh seviyelerine gerilemiş olsa da, 2025 sonu itibarıyla lityum ve elektrolit maliyetlerindeki artış nedeniyle %10-15 bandında fiyat dalgalanmaları yaşanabileceği uyarısı yapılmaktadır.[4] Bu durum, depolamalı GES/RES yatırımı yapacak işletmeler için ‘bekle-gör’ stratejisinden ziyade stratejik tedarik anlaşmalarının (PPA) önemini artırmaktadır.
Finansal başarının bir diğer anahtarı, vergi avantajları ve devlet desteklerinin nakit akışına doğru entegre edilmesidir. Yatırım Teşvik Belgeleri aracılığıyla sağlanan KDV istisnası, gümrük vergisi muafiyeti ve kurumlar vergisi indirimi projenin ilk yatırım maliyetini %30-40 oranında aşağı çekebilir.[4] KOSGEB’in Yeşil Sanayi Destek Programı kapsamında sunduğu 14 milyon TL’lik geri ödemeli destek ise 12 ay ödemesiz dönemi sayesinde işletmenin kurulum aşamasındaki likidite baskısını minimize etmektedir.[2]
1.2. Trafo Kapasite Krizi ve Şebeke Bağlantı Stratejileri
Türkiye’de yenilenebilir enerji yatırımlarının önündeki en büyük teknik engel, santralin kurulacağı arazinin veya çatının uygunluğu değil, üretilen enerjinin şebekeye aktarılacağı trafo merkezlerindeki kapasite kısıtıdır. 2024 yılı başından itibaren TEİAŞ tarafından açıklanan veriler, Türkiye genelindeki birçok bölgede lisanssız üretim için ayrılan kapasitenin kritik seviyelere ulaştığını göstermektedir.[3]
Bu mevcut kısıtlı kapasite ortamında yatırımcıların projelerini hayata geçirebilmeleri için geleneksel yöntemlerin dışına çıkmaları ve mevcut mevzuatın sunduğu esneklikleri kullanmalarını gerekmektedir. Şebeke bağlantı stratejilerinde öne çıkan kritik yaklaşımlar şunlardır:
- 5.1.h Maddesi Uygulaması: Elektrik Piyasasında Lisanssız Elektrik Üretim Yönetmeliği’nin 5.1.h maddesi, tüketim tesisinin bulunduğu dağıtım bölgesi dışında üretim tesisi kurulmasına olanak tanır.[10] Örneğin, Kocaeli’nde fabrikası olan bir KOBİ, trafo kapasitesi bulunan Şanlıurfa veya Viranşehir gibi bölgelerde GES kurarak mahsuplaşma yapabilir.[11]
- Toplayıcı (Aggregator) Modeli: Geçtiğimiz yıl devreye alınan ve 2026 yılı itibarıyla ilk lisanslı örneklerini sahada gördüğümüz ‘Toplayıcı’ modeli, şebeke kısıtlarını aşmak isteyen KOBİ’ler için anahtar bir çözüm sunmaktadır.[7] Bu model, münferit olarak şebekeye bağlanamayan küçük ölçekli projelerin bir portföy altında birleşerek şebeke erişimini kolaylaştırmasına ve bağlantı önceliği almasına yardımcı olabilir.[7]
- Bağlantı Anlaşmasına Çağrı Mektubu Yönetimi: Çağrı mektubu süreci yaklaşık 4-6 ay süren idari bir maratondur.[2] Kapasite kısıtları nedeniyle, iletim seviyesinden bağlanmak isteyen 212 MW kurulu gücündeki 13 projenin teknik değerlendirmeye dahi alınmadığı unutulmamalıdır.[3] Bu nedenle, ‘öncelik değerlendirmesi’ (Madde 14/6-b) kriterlerine uyum sağlamak (tüketim miktarı ve sözleşme gücü oranları) hayati önemdedir.[13]
Aşağıdaki tablo, Türkiye’deki güncel şebeke bağlantı süreçlerinde dikkat edilmesi gereken yasal ve teknik limitleri özetlemektedir:
Tablo 2: Güncel Şebeke Bağlantı Süreçleri: Yasal ve Teknik Uyumluluk Kriterleri
| Kriter | Detay / Limit | Stratejik Önem |
| Mekanik / Elektriksel Güç Oranı | Mekanik güç, elektriksel gücün 2 katını aşamaz. | Birim alandan maksimum verim elde etmek için kritik sınır.[10] |
| Bağlantı Süresi | İmza tarihinden itibaren 3 yıl içinde kabul işlemleri. | Süre aşımında hak kaybı ve kapasitenin iptali riski.[13] |
| Mahsuplaşma Şartı | Tüketim tesisi sözleşme gücü Üretim tesis gücü. | Şartın sağlanmaması durumunda enerji YEKDEM’e bedelsiz aktarılır.[13] |
| ÖDT Formülü | ÖDT = TT x | Kapasite tahsisinde mükerrer kullanımı engelleme metriği.[13] |
Trafo kapasite krizini aşmanın bir diğer yolu da işletmelerin ‘şebeke geri beslemesiz’ (zero-export) sistemlere yönelmesidir. Ancak Mart 2026 itibarıyla yürürlükteki teknik kriterler uyarınca, bu sistemlerin bile şebeke ile senkronizasyon güvenliği için ilgili dağıtım şirketinden (EDAŞ) ‘Bağlantı Görüşü’ alması ve koruma rölesi ayarlarını onaylatması yasal bir zorunluluktur. Ayrıca, 25 Kasım 2025 tarihli yönetmelik değişikliği ile getirilen ‘tekrar başvuru yasağı’ ve ‘devir kısıtlamaları’, kapasite işgalini engellemeyi amaçladığından; yatırımcıların başvuru dosyasını (ek süre uygulamasının kaldırılması nedeniyle) ilk seferde hatasız hazırlaması kritik bir operasyonel eşik haline gelmiştir.[12]
Yatırım öncesi bu eşiklerin doğru analiz edilmesi, projenin uzun vadeli başarısını belirleyen en kritik faktördür. Özellikle kapasite kısıtlarının belirginleştiği mevcut ortamda, mevzuat esnekliklerinden yararlanmak ve güncel maliyet projeksiyonlarını dikkate almak, yatırımcıyı atıl ve verimsiz projelerden korur.
Sonuç olarak, yenilenebilir enerji yatırımlarında başarı, yalnızca doğru ekipman seçimine değil, aynı zamanda finansal disiplin, mevzuat bilgisi ve şebeke erişim stratejisinin birlikte yönetilmesine bağlıdır.
2. EPC Dönemi: Mühendislik ve Tedarik Zinciri Güvencesi
Yenilenebilir enerji projelerinde EPC (Engineering, Procurement and Construction / Mühendislik, Tedarik ve İnşaat) dönemi, tasarım aşamasındaki projeksiyonların sahada fiziksel varlığa dönüştüğü kritik bir süreçtir. Bu aşamada risk finansal boyuttan operasyonel boyuta geçiş yapar.
EPC modeli, mühendislik (Engineering), tedarik (Procurement) ve inşaat (Construction) süreçlerinin tek bir yüklenici altında toplandığı bir yapıdır. Yatırımcı ise bu süreç sonunda anahtar teslim bir tesis elde etmeyi hedefler.
Bu sürecin başarısı yalnızca tesisin tamamlanmasına değil, kullanılan ekipmanların uluslararası standartlara uygunluğuna ve sözleşme yapısının sağlamlığına bağlıdır.
Bu aşamada, projenin teknik omurgasını oluşturan mühendislik standartları, tedarik stratejileri ve sözleşme yapıları birlikte değerlendirilmelidir. Özellikle GES projeleri için IEC 61215 ve RES projeleri için IEC 61400 gibi standartlar, yatırımın 25 yıllık ömrü boyunca performans sürekliliğini güvence altına alan temel teknik çerçeveyi oluşturur. Ayrıca, Türkiye’nin 2026 yılına kadar uzanan ‘Yerli Aksam Desteği’ (YADF – Yerli Aksam Destek Fiyatı) mekanizması, tedarik stratejilerini doğrudan finansal kârlılığa bağlamaktadır.
2.1. EPC Sözleşme Yönetimi ve Hukuki Riskler
Bir EPC sözleşmesi, yatırımcı için en büyük koruma kalkanıdır ancak yanlış kurgulandığında en büyük maliyet tuzağına dönüşebilir. Uluslararası uygulamalarda kabul görmüş FIDIC (Gümüş Kitap) standartları, riskin taraflar arasında adil dağıtımı için bir rehber sunar. EPC kontratlarında temel ilke, yüklenicinin tüm süreçlerden tek başına sorumlu olmasıdır (Single Point of Responsibility).
FIDIC Gümüş Kitap (Silver Book) ve Tek Sorumluluk İlkesi
Yenilenebilir enerji projelerinde genellikle FIDIC Silver Book (Gümüş Kitap) yöntemi tercih edilir; çünkü bu modelde yüklenici, tasarım hatalarından zemin koşullarına kadar risklerin önemli bir bölümünü üstlenir. İşletme sahipleri için bu, ‘sabit fiyat’ ve ‘kesin bitiş tarihi’ güvencesi anlamına gelir. Ancak bu modelde, yüklenicinin üstlendiği riskleri fiyatlara yansıtması ve mücbir sebepler dışındaki gecikmelerde cezai şartlarla (Liquidated Damages) karşılaşması kaçınılmazdır.
Türk Hukuku ve Uluslararası Sözleşme Farklılıkları
Türkiye’deki projelerde, FIDIC standartları ile yerel mevzuat (Kamu İhale Kanunu ekleri vb.) arasında bazı uygulama farkları bulunmaktadır. Örneğin, FIDIC modellerinde ‘Engineer’ (Mühendis) bağımsız bir hakem rolü üstlenirken, yerel uygulamalarda bu mekanizma genellikle işverenin kontrol teşkilatı olarak kurgulanır.
Ayrıca, Türk hukukunda süre uzatımı genellikle sadece mücbir sebep veya işveren kusuruyla sınırlıyken, uluslararası sözleşmeler çok daha esnek bir talep (claim) mekanizması sunar.
2.2. Teknik Standartlar ve Kalite Güvencesi (QA/QC)
Enerji santrallerinde sistem performansı, kullanılan ekipmanların toplam kalitesiyle doğrudan ilişkilidir. Kalite güvencesi (QA – Quality Assurance) ve kalite kontrol (QC – Quality Control) süreçleri, sadece kurulum sırasında değil, ekipmanlar henüz fabrikadayken başlar. Özellikle 2025-2030 döneminde devreye alınacak 4.600 GW’lık küresel kapasite artışı, tedarik zincirinde kalite denetimlerini daha da hayati kılmaktadır.
GES Projelerinde IEC Standartları: PV Panel ve İnverter Dayanıklılığı
Güneş panellerinin 25 yıllık performans garantisi vermesi, belirli test protokollerinden geçmesine bağlıdır.
- IEC 61215: Panellerin rüzgâr, kar yükü ve nem gibi çevresel streslere dayanıklılığını doğrular.
- IEC 61730: Elektriksel güvenlik ve yangın direnci standartlarını belirler.
- IEC TS 62804-1: Panellerde verim kaybına yol açan PID (Potansiyel kaynaklı bozulma) etkisine karşı direnci test eder.
RES Yatırımlarında IEC 61400: Türbin Ömrü ve Güç Kalitesi
Rüzgar enerjisinde türbinlerin mekanik karmaşıklığı, daha sert standartlar gerektirir. IEC 61400 serisi, bir türbinin zorlu iklim koşullarına dayanıp dayanamayacağını belirleyen temel referans standardı olarak kabul edilir. Bu standart kapsamında akustik gürültü ölçümleri (IEC 61400-11) ve şebeke bağlantı kalitesi (IEC 61400-21) gibi teknik parametreler projenin hem çevre uyumu hem de şebeke kabulü için zorunludur.
2.3. Tedarik Zinciri ve Yerli Aksam Stratejisi
Tedarik süreci, yalnızca maliyet odaklı ekipman seçimi değil, teşvik mekanizmalarıyla entegre edilmiş bütüncül bir strateji gerektirir. Türkiye, 2025 ve 2026 yıllarında işletmeye girecek tesisler için yerli üretim ekipman kullanımına ek teşvikler sunmaya devam etmektedir.
Yerli Aksam Desteği (YADF) ve Teşvik Mekanizmaları
13 Aralık 2025 tarihli yönetmelik değişikliği ile ‘Yerli Aksam Destek Fiyatı’ (YADF), depolamalı elektrik üretim tesislerini de kapsayacak şekilde genişletilmiştir. Bu kapsamda:
- Depolamalı GES ve RES projelerinde kullanılan yerli ekipmanlar için 10 yıla kadar ek YEKDEM katkısı sağlanabilmektedir.
- 2026 yılı için belirlenen YEKDEM maliyetleri MWh başına 201 TL ile 617 TL arasında değişirken, yerli aksam desteği bu rakamın üzerine ek bir gelir kalemi olarak eklenir.
Tedarik Risklerinin Yönetimi: Kabul Testleri (FAT/SAT)
Tedarik zinciri risklerini minimize etmek için FAT (Factory Acceptance Tests / Fabrika Kabul Testleri) ve SAT (Site Acceptance Tests / Saha Kabul Testleri) süreçleri sistematik bir disiplinle uygulanmalıdır. Üretim bandı aşamasında gerçekleştirilen ‘inline’ (Süreç İçi / Üretim Hattı Üzerinde) denetimler, kusurlu modüllerin sahaya ulaşmadan elenmesini sağlayarak hem zaman hem de maliyet kaybını önler. Özellikle 2025’ten itibaren sahada görmeye başladığımız depolamalı GES projelerinde, ‘TOPCon Plus’ gibi yeni nesil hücre teknolojilerinin verimlilik testleri bu denetimlerin merkezinde yer almaktadır.
EPC dönemi, mühendislik hassasiyeti ile hukuki disiplinin birleştiği kritik bir aşamadır. IEC standartlarına uygun ekipman seçimi ve FIDIC temelli dengeli sözleşme yapıları, projenin yalnızca kurulum sürecini değil, tüm işletme ömrünü güvence altına alır. Yerli aksam teşviklerinin stratejik entegrasyonu ise yatırımcıya hem operasyonel verimlilik hem de daha kısa geri dönüş süresi sağlar.
3. İşletme Dönemi ve Stratejik Varlık Yönetimi (Asset Management)
Yenilenebilir enerji yatırımlarında santralin geçici kabulü, projenin tamamlanması değil, gerçek finansal maratonun başlangıcıdır. Bir GES veya RES projesinin yaşam döngüsünün yaklaşık %90’ı işletme döneminde gerçekleşir ve yatırımın geri dönüşü (ROI) bu uzun vadeli operasyonel verimliliğe doğrudan bağlıdır. 2025 yılı itibarıyla sektör sadece bakım odaklı değil, tesisin fiziksel performansını finansal sonuçlara dönüştüren ‘stratejik varlık yönetimi’ anlayışına evrilmiştir.
Bu bölüm, işletme döneminde karşılaşılan teknik ve finansal zorlukların üstesinden gelmek için gerekli modern yönetim disiplinlerini inceler. Özellikle ISO 55001:2024 standart güncellemesiyle gelen ‘öngörücü faaliyet’ yaklaşımı ve yapay zekâ tabanlı analizler, günümüz enerji piyasasında rekabet avantajı sağlamanın temel anahtarlarıdır.
3.1. ISO 55001:2024 Revizyonu ve Öngörücü Faaliyet Dönemi
ISO 55001:2024 revizyonu, reaktif yaklaşımlardan uzaklaşarak öngörücü faaliyet anlayışını ön plana çıkarmıştır. Bu yaklaşım, enerji santrallerinde sadece periyodik bakım yapılmasını değil, ekipmanların gelecekteki durumlarının tahmin edilerek optimal müdahale zamanının belirlenmesini hedefler.
- Stratejik Varlık Yönetim Planı (SAMP): İşletmelerin teknik hedefleri ile kurumsal finansal hedefleri arasındaki köprüyü kuran bu planın belgelenmesi artık zorunludur.
- Karar Alma Çerçevesi: Varlıklarla ilgili kararların sadece teknik arızaya göre değil, risk ve fırsat dengesine göre alınması şart koşulmuştur.
- İklim Dayanıklılığı: Tesislerin değişen meteorolojik koşullara karşı dayanıklılığının analizi, varlık yönetim planlarının ayrılmaz bir parçası haline gelmiştir.
3.2. Varlık Yönetimi vs. O & M (Operation and Maintenance): Saha ve Ofis Operasyonları Arasındaki Sinerji
Sektörde sıkça karıştırılan İşletme ve Bakım (O & M) ile Varlık Yönetimi (Asset Management) aslında birbirini tamamlayan farklı uzmanlık alanlarıdır. O & M, sahadaki fiziksel ekipmanın bakım ve operasyonuna odaklanırken, Varlık Yönetimi bu performansın finansal sonuçlar üzerindeki etkilerini yönetir.
- O&M (Operasyon ve Bakım): Panel temizliği, yedek parça değişimi, güvenlik ve teknik raporlama gibi ‘saha odaklı’ faaliyetleri kapsar.
- Varlık Yönetimi (Asset Management): PPA sözleşmelerinin yönetimi, sigorta poliçelerinin takibi, bütçeleme, vergi yönetimi ve yatırımcı raporlaması gibi ‘ofis odaklı’ stratejik süreçleri yürütür.
- Sinerji Noktası: Teknik bir duruşun (downtime) yarattığı gelir kaybının analiz edilmesi ve müdahale maliyetiyle karşılaştırılması, ancak bu iki disiplinin entegre çalışmasıyla mümkündür.
3.3. Dijital Dönüşüm: Yapay zeka (Artificial Intelleigence) Destekli Kestirimci Bakım (PdM)
Geleneksel periyodik bakım takvimleri, modern enerji tesislerinde yerini veriye dayalı kestirimci bakıma bırakmaktadır. Yapay zekâ ve makine öğrenmesi algoritmaları, SCADA verilerini analiz ederek arızaları haftalar öncesinden öngörebilmektedir.
- Duruş Sürelerinin Azaltılması: IEA 2024 yılı verilerine göre, doğru veri analizi ve proaktif izleme beklenmedik duruşları %50’ye kadar azaltabilmektedir.
- Anomali Tespiti: Panel üzerindeki mikro çatlaklar veya invertörlerdeki verim düşüşleri, yapay zekâ destekli termal denetimlerle anında tespit edilerek büyük hasarların önüne geçilir.
- Bakım Maliyeti Tasarrufu: Arıza oluştuktan sonra yapılan acil müdahale, planlı bir iyileştirmeye göre çok daha maliyetlidir; kestirimci bakım bu risk primini ortadan kaldırır.
3.4. Finansal Optimizasyon: OPEX Yönetimi ve ROI Maksimizasyonu
Yenilenebilir enerji projelerinde yakıt maliyeti sıfır olduğundan, kârlılığı belirleyen ana unsur işletme giderlerinin (OPEX) kontrolüdür. Modern varlık yönetimi uygulamalarıyla OPEX’in optimize edilmesiyle %10-25 aralığında iyileştirme sağlanabilir.
- Şebeke (Grid) Ücretleri: Toplu anlaşmalar ve standartlaştırılmış sözleşmelerle şebeke bağlantı ücretlerinde %5-10 maliyet avantajı sağlanabilir.
- Karbon Kredileri ve REC: Yenilenebilir enerji sertifikalarının (REC) dinamik fiyatlama ile satılması projenin nakit akışını %15-20 oranında iyileştirebilir.
- Performans Garantileri: O & M yüklenicileri ile yapılan sözleşmelerde süreklilik (availability) garantilerinin finansal cezai şartlarla desteklenmesi, yatırımcının riskini minimize eder.
İşletme dönemi, yenilenebilir enerji yatırımının sadece teknik başarısının değil, aynı zamanda kurumsal disiplininin test edildiği evredir. Standartlara (ISO 55001) uygun bir varlık yönetim sistemi kuran işletmeler teknik riskleri finansal fırsatlara dönüştürebilir. Unutulmamalıdır ki en kârlı megavat, üretilmesi planlanan değil, en düşük işletme maliyetiyle şebekeye verilen megavattır.
4. Kurumsal Yönetişim, İç Denetim ve ESG Standartları
Yenilenebilir enerji projeleri, sadece teknik ve operasyonel başarıyla değil, aynı zamanda bu başarıyı sürdürülebilir kılan kurumsal bir omurgayla anlam kazanır. 2025-2026 dönemi, Türkiye’deki enerji yatırımcıları için yönetişim ve raporlama standartlarında devrim niteliğinde değişimlerin yaşandığı bir süreçtir. Artık bir GES veya RES yatırımı, sadece elektrik üreten bir tesis değil; karbon emisyonundan iş etiğine, risk yönetiminden şeffaf raporlamaya kadar geniş bir ‘ESG’ (Çevresel, Sosyal ve Yönetişim) ekosisteminin parçasıdır.
Bu bölüm, işletmelerin yatırım süreçlerinde kurumsal olgunluğu nasıl artırabileceklerini, COSO standartlarında bir iç denetim yapısının operasyonel verimliliğe katkısını ve Kamu Gözetimi Kurumu (KGK) tarafından 2026 yılı için belirlenen yeni sürdürülebilirlik raporlama eşiklerini detaylandırmaktadır. Teolupus perspektifiyle yönetişim, bir maliyet değil; finansmana erişimi kolaylaştıran ve varlık değerini (EV) maksimize eden stratejik bir kaldıraçtır.
4.1. Kurumsal Yönetişim ve COSO Tabanlı İç Denetim Mekanizmaları
Etkili bir kurumsal yönetişim yapısı, yenilenebilir enerji şirketlerinde karar alma süreçlerinin kişilerden bağımsız, verilere ve kurallara dayalı olmasını sağlar. İç denetim ise bu yapının ‘bekçi köpeği’ değil, stratejik danışmanıdır. Özellikle COSO (Committee of Sponsoring Organizations) İç Kontrol ve Kurumsal İç Kontrol Çerçevesi, enerji sektöründeki karmaşık risklerin (mevzuat değişikliği, döngüsel fiyatlama vb.) yönetilmesinde altın standarttır.
İç Denetimde Risk Tanımlama ve Operasyonel Verimlilik
İç denetim süreci, enerji tesislerinde sadece finansal kayıtların kontrolüyle sınırlı kalmamalıdır. Teolupus olarak vurguladığımız üzere, denetim satın alma süreçlerindeki fazlalıkların belirlenmesinden yedek parça envanterinin optimizasyonuna kadar geniş bir alanda maliyetleri azaltır.
- Hile ve Suistimal Önleme: EPC ve O&M dönemlerindeki yüksek hacimli satın almalarda kontrol noktaları oluşturarak kaynak israfını engeller.
- Süreç İyileştirme: Teknik duruşların (downtime) neden olduğu gelir kayıplarının kök nedenlerini analiz ederek operasyonel sürekliliği sağlar.
COSO İç Kontrol Çerçevesi ile Kontrol Ortamının Güçlendirilmesi
COSO çerçevesi, iç kontrolü beş temel bileşene ayırarak (Kontrol Ortamı, Risk Değerlendirme, Kontrol Faaliyetleri, Bilgi ve İletişim, İzleme) enerji şirketlerine dinamik bir yapı sunar. Bu sistem sayesinde, 2026 yılı gibi belirsizliklerin yüksek olduğu bir dönemde, işletmeler şeffaflık ve hesap verebilirlik kültürünü tabana yayabilirler. Güçlü bir kontrol ortamı, yatırımcı güvenini pekiştirerek itibar riskini minimize eder.
4.2. Yeni Nesil ESG Standartları: TSRS 1 ve TSRS 2 Uyumu
2026 yılı, Türkiye’de sürdürülebilirlik raporlamasının ‘isteğe bağlı’ olmaktan çıkıp ‘yasal zorunluluk’ haline geldiği kritik bir eşiktir. KGK tarafından yayımlanan Türkiye Sürdürülebilirlik Raporlama Standartları (TSRS 1 ve TSRS 2), enerji şirketlerinin finansal olmayan verilerini de en az finansal tabloları kadar ciddiyetle yönetmesini gerektirmektedir.
KGK Sürdürülebilirlik Raporlaması Eşik Değerleri (2026)
1 Ocak 2026 itibarıyla yürürlüğe giren ve Kamu Gözetimi Kurumu (KGK) tarafından denetlenen yeni eşik değerler uyarınca, sürdürülebilirlik raporlaması artık yasal bir zorunluluktur. Mevcut mali yıl verileri baz alındığında, aşağıdaki kriterleri sağlayan işletmeler TSRS uyumlu raporlarını hazırlamakla yükümlüdür:
Tablo 3: KGK Sürdürülebilirlik Raporlaması Güncel Eşik Değerleri ve Uyumluluk Kriterleri (2026)
| Kriter | 2026 Güncel Eşik Değeri | Kapsam Notu |
| Aktif Toplam | 1 Milyar Türk Lirası | Üst üste iki dönem sağlanmalıdır. |
| Yıllık Net Satış Hasılatı | 2 Milyar Türk Lirası | Enerji satışları ve sertifika gelirleri dahildir. |
| Çalışan Sayısı | 500 Kişi | EPC ve saha personeli dahil. |
TSRS 2: İklimle İlgili Açıklamalar ve Karbon Ayak İzi
TSRS 2 standardı, enerji tesislerinin iklim değişikliğine bağlı fiziksel ve geçiş risklerini açıklamasını zorunlu kılar. Bu kapsamda, Kapsam 1 ve Kapsam 2 emisyonlarının Sera Gazı Protokolü’ne göre raporlanması hayati önemdedir. Yenilenebilir enerji yatırımcıları için bu durum, ürettikleri temiz enerjinin karbon ofset değerini (REC) belgelendirerek finansal bir avantaja dönüştürme fırsatı sunar.
4.3. ISO 50001 ve ISO 55001 Entegrasyonuyla ESG Performansı
Yönetişim ve ESG hedeflerine ulaşmanın en somut yolu, operasyonel standartları (ISO) kurumsal sisteme entegre etmektir. ISO 50001 (Enerji Yönetimi) ile ISO 55001 (Varlık Yönetimi) arasındaki sinerji sürdürülebilirlik raporlamasının veri altyapısını oluşturur.
- Veri Odaklı Karar Alma: ISO 50001 kapsamında belirlenen Enerji Performans Göstergeleri (EnPI), ESG raporlarındaki ‘çevresel performans’ maddesinin temel kanıtıdır.
- Varlık Yaşam Döngüsü: ISO 55001’in 2024 revizyonuyla gelen ‘öngörücü faaliyet’ yaklaşımı, teknik arızaların çevresel risklere dönüşmesini engeller ve varlık ömrünü uzatarak sosyal sorumluluğu destekler.
Kurumsal yönetişim ve ESG uyumu, günümüz enerji piyasasında artık bir ‘lüks’ değil; projenin ‘bankalanabilirliği’ (Bankability / Finansal olarak kredilendirilebilirliği) ve uluslararası ticaretteki rekabet gücü için anahtar bir gerekliliktir. KGK (Kamu Gözetimi Kurumu) 2026 eşik değerlerine hazırlıklı olan ve COSO (Committee of Sponsoring Organizations / Sponsor Kuruluşlar Konseyi) tabanlı bir iç denetim disiplini geliştiren işletmeler, sadece mevzuata uyum sağlamakla kalmayacak; aynı zamanda yeşil finansman kaynaklarına erişimde öncelik kazanacaktır. Unutulmamalıdır ki, şeffaf yönetilen her megavat, yatırımcı gözünde iki kat değerlidir.
5. Sürdürülebilirlik Raporlaması ve 2026 Mevcut Durumu
Küresel ticareti yeniden şekillendiren Yeşil Mutabakat ve buna bağlı raporlama standartları, Mart 2026 itibarıyla Türkiye’deki işletmeler için bir temenni olmaktan çıkmış, yasal bir zorunluluk haline gelmiştir. Türkiye’nin 2053 net sıfır karbon hedefi doğrultusunda, enerji dönüşümü artık yalnızca teknik bir revizyon değil; doğrudan finansal sürdürülebilirliğin ve uluslararası pazara erişimin anahtarıdır.
Bu bölüm, Kamu Gözetimi Kurumu (KGK) tarafından yürürlüğe alınan Türkiye Sürdürülebilirlik Raporlama Standartları’nın (TSRS) güncel kapsamını, Avrupa Birliği ile ticarette kritik eşik olan Sınırda Karbon Düzenleme Mekanizması’nın (SKDM) mali yükümlülüklerini ve 2026 yılındaki yeni enerji kapasite yönetimini ele almaktadır.
5.1. TSRS ve SKDM: 2026 Dönüm Noktası ve Yasal Zorunluluklar
1 Ocak 2026 itibarıyla Türkiye’de sürdürülebilirlik raporlamasında ‘denetlenebilir yasal zorunluluk’ dönemi resmen başlamıştır. KGK’nın güncel kararları uyarınca raporlama kapsamına giren kurumlar için eşik değerler Mart 2026 itibarıyla aşağıdaki gibi uygulanmaktadır.
TSRS 1 ve TSRS 2 Uygulaması: Mevcut mali yıl itibarıyla işletmelerin iklimle ilgili risk ve fırsatlarını TSRS 2 standartlarına göre beyan etmeleri zorunludur. Özellikle SKDM (CBAM) kapsamında, 2026 yılı AB’ye yapılan ihracatta mali yükümlülüklerin (karbon vergisi) fiilen başladığı yıldır. Yenilenebilir enerji yatırımı yapmış olan ihracatçılar, emisyonlarını minimize ettiklerini bu raporlarla kanıtlayarak ciddi bir rekabet avantajı elde etmektedir.
5.2. Ulusal Enerji Planı: 3.500 MW’lık Yeni Kapasite Penceresi
Türkiye’nin 2026 enerji vizyonu çerçevesinde, kurulu gücün 129 GW seviyesine çıkarılması hedeflenirken, Mart 2026 itibarıyla sanayicilerin öz tüketim ihtiyaçlarına yönelik yeni bir stratejik adım atılmıştır:
- Yeni Kapasite Tahsisi: Enerji ve Tabii Kaynaklar Bakanlığı, sanayi tesislerinin yeşil dönüşümünü hızlandırmak amacıyla 3.500 MW’lık ek kapasite tahsis sürecini başlatmıştır.
- Kapasite Dağılımı: Bu kapasitenin 2.000 MW’ı dağıtım, 1.500 MW’ı ise iletim seviyesinden bağlanacak projeler için ayrılmıştır.
- Depolama Zorunluluğu (BESS): Yeni tahsis edilen kapasitelerde, şebeke kararlılığını korumak adına belirli ölçekteki projelerde enerji depolama sistemlerinin entegrasyonu bir ön şart haline getirilmiştir.
5.3. Karbon Piyasaları ve Ulusal ETS Entegrasyonu
Türkiye, AB ile tam uyumlu bir Emisyon Ticaret Sistemi (ETS) kurarak yeşil dönüşümün finansmanını kendi içinde yönetmeye başlamıştır.
- Ulusal ETS Pilot Dönemi: 2026 yılı Türkiye ETS için pilot uygulama yılıdır. Çimento, demir-çelik ve gübre gibi karbon yoğun sektörler bu sistemin birincil paydaşlarıdır.
- EPİAŞ Karbon Piyasası: Karbon ticareti işlemleri EPİAŞ bünyesindeki ulusal piyasada yürütülmektedir. Bu sistem, GES ve RES yatırımcılarının ürettikleri karbon ofsetlerini şeffaf bir pazarda finansal değere dönüştürmesine olanak tanımaktadır.
- Yeşil Finansman: Karbon emisyonlarını TSRS uyumlu raporlarla belgeleyen işletmeler, düşük faizli ‘Sürdürülebilirlik Endeksli Krediler’e erişimde öncelik kazanmaktadır.
Sonuç olarak, Mart 2026 itibarıyla enerji yönetimi bir mühendislik projesinden ziyade bir uyum ve finans yönetimi sürecine evrilmiştir. Teolupus olarak vurguladığımız üzere, bugünün sürdürülebilirlik raporlaması şeffaflığı yarının küresel pazardaki varoluş mücadelesinin temel belirleyicisidir.
6. Sonuç ve Stratejik Yol Haritası
Yenilenebilir enerji yatırımları, fizibilite aşamasındaki finansal projeksiyonlardan EPC dönemindeki mühendislik hassasiyetine, işletme dönemindeki dijital varlık yönetiminden KGK uyumlu sürdürülebilirlik raporlamasına kadar uzanan bütünsel bir değer zinciridir. 2026 yılı itibarıyla Türkiye, sadece kapasite artıran değil, bu kapasiteyi ‘akıllı şebekeler’ ve ‘karbon piyasaları’ ile entegre eden bir mimariye geçiş yapmıştır. Bu yeni dönemde başarı, parçalı yaklaşımları terk edip enerji yönetimini kurumsal yönetişimin merkezine yerleştiren işletmelerin olacaktır.
6.1. 2026 Vizyonu: Hedeflerden Uygulamaya Geçiş
2026 yılı, sürdürülebilirlik vaatlerinin yerini somut performansa ve ölçülebilir iş değerine bıraktığı bir dönüm noktasıdır. Bu dönemde yatırımcıların önceliği sadece yeni santral kurmak değil, mevcut varlıklarından (GES/RES) yapay zekâ destekli optimizasyon araçlarıyla en azından %1-2 daha fazla verim alarak bu verimi paraya tahvil etmektir.
- Kapasite Fırsatları: Enerji Bakanlığı tarafından sanayicilerin öz tüketimi için ayrılan 3.500 MW’lık yeni kapasite penceresi, yatırım iştahını canlı tutmaya devam etmektedir.
- Varlık Yönetimi Evrimi: ISO 55001:2024 standardı ile gelen ‘Öngörücü Faaliyet’ disiplini, arızaları haftalar öncesinden tespit ederek duruş sürelerini %50’ye kadar azaltmaktadır.
- Finansal Kaldıraç: Yeşil tahviller ve sürdürülebilirlik endeksli krediler, TSRS uyumlu raporlama yapan ve ESG skoru yüksek olan işletmeler için birincil finansman kaynağı haline gelmiştir.
6.2. İşletmeler İçin 5 Adımlı Stratejik Yol Haritası
Teolupus olarak, yenilenebilir enerji yatırımlarınızda operasyonel mükemmelliğe ulaşmanız için şu 5 adımı kritik görüyoruz:
- Stratejik Fizibilite ve Şebeke Uyumu: 5.1.h gibi mevzuat esnekliklerini kullanarak trafo kısıtlarını aşın ve LCOE analizinizi 2026 maliyet projeksiyonlarına göre güncelleyin.
- Mühendislik ve Tedarik Güvencesi: EPC süreçlerinde FIDIC standartlarında sözleşmeler ve IEC onaylı yüksek verimli bileşenler (TOPCon vb.) kullanarak yatırımın 25 yıllık ömrünü garanti altına alın.
- Dijital Varlık Yönetimi Entegrasyonu: ISO 55001:2024 geçişini tamamlayın; SCADA verilerinizi AI tabanlı kestirimci bakım sistemleriyle buluşturarak ROI oranınızı maksimize edin.
- Kurumsal Yönetişim ve ESG Denetimi: COSO İç Kontrol ve Kurumsal Risk Yönetimi çerçevesinde iç denetim mekanizmaları kurarak operasyonel riskleri minimize edin ve KGK’nın 2026 sürdürülebilirlik eşik değerlerine (TSRS 1 & 2) tam uyum sağlayın.
- Karbon Piyasası ve ETS Hazırlığı: Ürettiğiniz temiz enerjinin karbon ofset değerini sertifikalandırarak ulusal ETS pilot döneminde ek gelir modelleri geliştirin.
Yenilenebilir enerji artık sadece mühendislerin konusu değil, yönetim kurullarının en stratejik gündem maddesidir. Ucuz enerji devrinin kapandığı ve karbon vergisinin fiilen başladığı bu yeni ekonomik düzende, enerji santralini ‘pasif bir yapı’ olarak değil, ‘aktif bir kâr merkezi’ olarak yönetenler küresel rekabette öne çıkacaktır. Teolupus olarak bu dönüşümde, teknik derinliğimiz ve finansal uzmanlığımızla yanınızdayız.
Yenilenebilir enerji yatırımınızı 2026 standartlarına (TSRS/ISO 55001) uyumlu hale getirmek ve yeşil dönüşüm yol haritanızı Teolupus uzmanlığıyla çizmek için profesyonel bir danışmanlık görüşmesinde bir araya gelelim.
AKADEMİK REFERANSLAR
- BloombergNEF. (2025). Energy Storage Outlook and Battery Price Survey.
- Committee of Sponsoring Organizations of the Treadway Commission (COSO). (2013). Internal Control – Integrated Framework.
- EPDK. (2025, 25 Kasım). Elektrik Piyasasında Lisanssız Elektrik Üretim Yönetmeliğinde Değişiklik Yapılmasına Dair Yönetmelik. Resmi Gazete No: 32733.
- International Energy Agency (IEA). (2025). Renewables 2025: Analysis and Forecasts to 2030.
- International Energy Agency (IEA). (2024). Digitalization and Energy: Transforming Renewable Operations through Data Integrity.
- International Electrotechnical Commission (IEC). (2024). IEC 61400-1: Wind Energy Generation Systems – Design Requirements.
- International Organization for Standardization (ISO). (2024). ISO 55001:2024 Asset Management – Management Systems – Requirements.
- ISO. (2018). ISO 50001:2018 Energy Management Systems – Requirements with guidance for use.
- Kamu Gözetimi Kurumu (KGK). (2026, 16 Ocak). Türkiye Sürdürülebilirlik Raporlama Standartlarının (TSRS) Uygulama Kapsamına İlişkin Kurul Kararı.
- Lazard. (2025, June). Levelized Cost of Energy+ (LCOE 18.0 / LCOS 10.0).
- National Renewable Energy Laboratory (NREL). (2024). Best Practices for Operation and Maintenance of PV Systems.
- PwC. (2026). Turkey Energy Market Mergers and Acquisitions Outlook 2026.
- T.C. Enerji ve Tabii Kaynaklar Bakanlığı. (2025). Türkiye Ulusal Enerji Planı 2026 Revizyon Raporu.
Kaynakça ve Veri Kaynakları
- Renewable electricity – Renewables 2025 – Analysis – IEA, Erişim Tarihi: 7 Mart, 2026
- KOSGEB güneş enerjisi desteği ne kadar? – SolarKonsept, Erişim Tarihi: 7 Mart, 2026
- Sıfır kapasite sorunu dördüncü ayını doldurdu : Yeşil Ekonomi, Erişim Tarihi: 9 Mart, 2026
- LCOE in 2025: Renewables’ Slowdown and The Uncertain Future of Battery Prices – Energy Central, Erişim Tarihi: 9 Mart, 2026
- LEVELIZED COST OF ENERGY+ – Lazard, Erişim Tarihi: 7 Mart, 2026
- Lisanssız Elektrik Üretim Yönetmeliği Değişiklikleri – 25 Kasım 2025 – Mars Enerji, Erişim Tarihi: 9 Mart, 2026
- Türkiye Elektrik Piyasasındaki Önemli Değişiklikler: Yeni Toplayıcı Lisansları Açıklandı, Erişim Tarihi: 7 Mart, 2026
- Renewable levelized cost of electricity competitiveness reaches new milestone across global markets in 2025 | Wood Mackenzie, Erişim Tarihi: 7 Mart, 2026
- Sanayiciler İçin 2025 Güneş Enerjisi Teşvikleri ve Hibeler Rehberi, Erişim Tarihi: 9 Mart, 2026
- Lisanssız Elektrik Üretimi – Enerji İşleri Genel Müdürlüğü, Erişim Tarihi: 10 Mart, 2026
- TEİAŞ 2024 Mayıs Trafo Merkezi Kapasiteleri Tablosu | Enermost | Yenilenebilir Enerji | Mühendislik & Danışmanlık, Erişim Tarihi: 9 Mart, 2026
- Lisanssız Elektrik Üretimi Yönetmeliği 5.1.h Maddesi: Kapsamı, Başvuru Süreci ve Dikkat Edilmesi Gerekenler, Erişim Tarihi: 7 Mart, 2026
- Lisanssız Elektrik Üretim Yönetmeliğinde Yapılan 25/11/2025 Tarihli Değişiklikler Hakkında – LBF Partners | Legal Excellence Tailored to Your Needs, Erişim Tarihi: 7 Mart, 2026
Lisanssız elektrik üretimine ilişkin düzenlemelerde önemli değişiklikler, Erişim Tarihi: 10 Mart, 2026






